
在绿色能源的演进中,锂电材料的元素纯度是决定性能表现的关键变量。在当前严苛的研发与生产标准下,任何微量杂质的波动都直接关乎电池的生命周期。为了突破性能瓶颈,实验室检测必须打破单一设备的孤岛效应。我们认为,真正的解决方案不应止于检测本身,而是一场从环境构建、样品前处理到精密分析的全链条协作。
莱伯泰科整体方案:从实验室建设到数据产出

莱伯泰科为您交付的不只是设备,而是涵盖洁净实验室工程、样品前处理技术与分析检测平台的全链条方案,通过深度耦合直击行业痛点:
构筑“洁净"屏障,化解背景污染:
锂电检测已进入痕量时代,普通环境或试剂污染极易掩盖真实数据。我们通过专业的洁净实验室工程,配合超纯酸制备与酸逆流清洗系统,从源头建立严苛的背景控制体系,确保检测结果的准确度和灵敏度。
高效消解“硬骨头",攻克难溶样瓶颈:
针对石墨、硅碳等极难消解的材料,莱伯泰科超级微波消解技术采用预加压设计,提供更高的温压极限,确保样品充分消解,解决检测结果偏差及重复性差的顽疾。
自动化作业,规避人工误差与风险:
前处理过程繁琐且强酸风险高,是误差的主要来源。我们的全自动消解系统与全自动液体处理平台,实现加酸、消解、定容、制备标准溶液等全流程自动化,在解放人力的同时,让实验人员远离危险环境。
精准检测平台,筑牢数据基石:
以 LabICP 2000 ICP-OES 高效测定主成分,以LabMS 3000 ICP-MS 攻克 ppt-ppb 级痕量杂质分析。在前处理设备与洁净环境的加持下,确保每一份数据都能经受严格考验。
LabTech
覆盖锂电全产业链:从矿石开发到材料循环
莱伯泰科的方案已深入应用到锂电行业的每一个关键节点:
上游勘探:针对锂辉石、锂云母等矿产资源的高效分析。
中游产研:针对磷酸铁锂(LFP)、三元材料(NMC)、钴酸锂(LCO)及石墨等正负极材料,以及电解液(六氟磷酸锂)进行严苛的品质把控。
循环利用: 黑色物质(Black Mass)回收中的元素价值评估。
LabTech
选择莱伯泰科,让全链条方案为您的锂电品质保驾护航
莱伯泰科致力于改变“碎片化"的实验室建设模式。通过“洁净实验室工程 + 样品前处理 + 终端分析"的深度耦合,我们助力锂电企业在追求卓越性能的道路上,拥有更稳健的数据支撑与更高效的研发平台。
LabTech
案例分享(一):
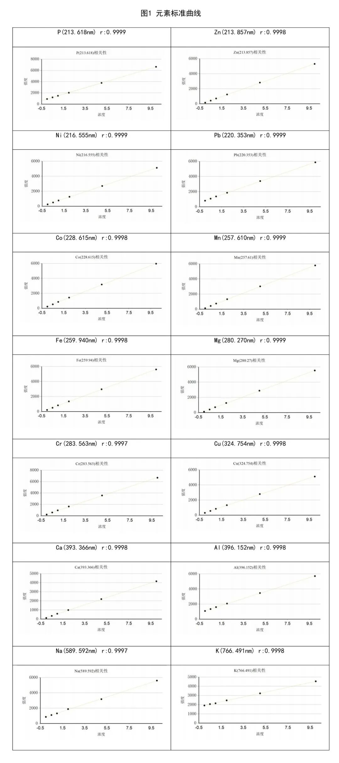
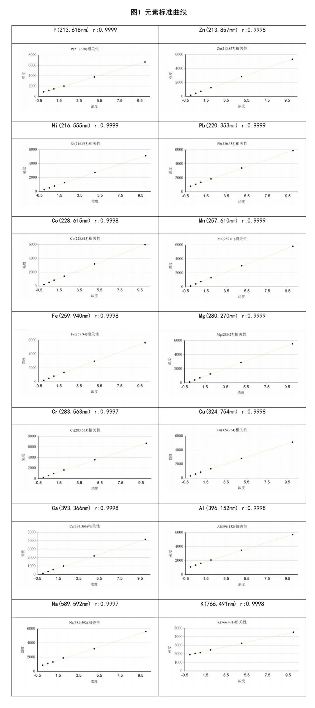
《石墨样品中Cr、Ni、Mn、Co、Cu、Zn、Mo、Pb 8种杂质元素含量的检测》
方案简介:
本方案建立了一种利用UltraWAVE 3超级微波消解系统消解,LabMS 3000 电感耦合等离子体质谱仪进行石墨中8种杂质元素的检测分析方法。
超级微波前处理用酸量少,消解时间短,更高的温度、压力可使消解更彻底,减少样品消解不完全带来的残碳基体效应。LabMS 3000 新一代六极杆碰撞/反应池与屏蔽炬系统相结合,可有效控制离子能量,提升氦气碰撞模式(KED)下分析的可信度并降低检出限。
方案构成:

检测结果:


方案特点:
UltraWAVE 3超级微波消解系统可实现程序升温自动化消解,消解方法简单易操作,有效避免和减少试剂挥发对分析人员造成的健康危害。高压密闭式消解可减少试剂使用量、减少人为误差、减少外界环境中带来的金属污染问题。LabMS 3000电感耦合等离子质谱仪测定样品中8 种元素含量,该方法检出限低、重现性好、准确度高,配合全基体气溶胶稀释功能及新一代碰撞/反应池技术,简化分析工作流程,同时大幅减少基质抑制。
LabTech
案例分享(二):
《碳纳米管导电浆料中Fe、Cu、Zn、Ni、Co等磁性异物及可溶性微量元素含量的测定》
方案简介:
本方案建立了一种利用电热板、D-Doctor全自动消解仪做前处理,LabICP 1000电感耦合等离子体光谱仪进行碳纳米管导电浆料中磁性物质5元素和14种微量元素的检测分析方法。电热板大版面,升温快,控温准;全自动消解仪高通量(80位),大容积(100毫升)可选,全流程智能方案控制,加酸,摇匀,程序升温,集消解提取和赶酸为一体,无需人员值守,极大的提高消解效率。LabICP 1000 具有非常高的分辨率,即使谱线非常复杂的稀土元素也可以实现完全分离,避免光谱干扰,非常适合稀土元素合稀土永磁材料的分析。同时也可广泛应用于食品、环境、地矿、有色金属冶炼等各种应用领域。。
方案构成:

检测结果:



LabTech